Semakan Urusan Kenaikan Pangkat - Semakan keputusan urusan kenaikan pangkat secara atas talian tidak melibatkan urusan pemangkuan.

Semakan Urusan Kenaikan Pangkat - Semakan keputusan urusan kenaikan pangkat secara atas talian tidak melibatkan urusan pemangkuan.. Tahniah kerana anda dinaikkan pangkat. Cara cek sk kenaikan pangkat pns (asn) di portal bkn.go.id. Seramai 24,053 guru siswazah ppps dan 12,502 guru bukan siswazah mendapat kenaikan pangkat. Bagi asn / pns yang sedang mengajukan kenaikan pangkat dan ingin melakukan cek perjalanan proses sk kenaikan pangkat bisa dilakukan dengan menggunakan aplikasi my spak bkn. Semakan keputusan urusan kenaikan pangkat secara online tidak melibatkan urusan pemangkuan.

Seramai 24,053 guru siswazah ppps dan 12,502 guru bukan siswazah mendapat kenaikan pangkat. Spp bil.04/2002 panduan urusan kenaikan pangkat, pemangkuan dan penanggungan kerja dalam tempoh peralihan sistem saraan malaysia. Bagaimana nak tahu keputusan kenaikan pangkat guru dengan mudah? Semakan epangkat kpm merupakan merupakan satu sistem online urusan semakan kenaikan pangkat online 2021. Berita baik buat mereka yang bekerja di kementerian pendidikan malaysia (kpm).

Blog Cikgu Khai Semakan Keputusan Urusan Kenaikan Pangkat Online E Pangkat Kpm
Blog Cikgu Khai Semakan Keputusan Urusan Kenaikan Pangkat Online E Pangkat Kpm from 2.bp.blogspot.com
Semakan keputusan urusan kenaikan pangkat secara online tidak melibatkan urusan pemangkuan. Epangkat yang wujud sejak 2008 ini berfungsi bagi mengelakkan kelemahan bagi pengurusan pangkat seperti lewat memproses urusan dan memperoleh kenaikan pangkat. Urusan pemangkuan skim perkhidmatan perakaunan. Semakan keputusan urusan kenaikan pangkat secara online tidak melibatkan urusan pemangkuan. Urusan kenaikan pangkat dan pemangkuan bulan/tahun: Home info guru semakan keputusan urusan kenaikan pangkat 2017. Jika anda ingin membuat permohonan dan semakan kenaikan pangkat guru secara online atau epangkat, anda boleh teruskan membaca perkongsian ini untuk ketahui cara permohonan dan semakan pangkat secara online. Bagi asn / pns yang sedang mengajukan kenaikan pangkat dan ingin melakukan cek perjalanan proses sk kenaikan pangkat bisa dilakukan dengan menggunakan aplikasi my spak bkn.

Urusan pemangkuan skim perkhidmatan perakaunan.

Epangkat yang wujud sejak 2008 ini berfungsi bagi mengelakkan kelemahan bagi pengurusan pangkat seperti lewat memproses urusan dan memperoleh kenaikan pangkat. Hanizan jamaluddin perak negeri sembilan terengganu unit naik pangkat bukan guru no 1 i. Cara cek sk kenaikan pangkat pns (asn) di portal bkn.go.id. Tahniah kerana anda dinaikkan pangkat. Semakan keputusan urusan kenaikan pangkat secara online tidak melibatkan urusan pemangkuan. Adalah sebuah kepercayaan dan penghargaan yang diberikan kepada pns atas prestasi yang tinggi. Epangkat adalah singkatan kepada sistem kenaikan pangkat. Semakan keputusan urusan kenaikan pangkat secara online tidak melibatkan urusan pemangkuan. Membolehkan perancangan urusan pemangkuan, kenaikan pangkat, penempatan pemangkuan, pertukaran jawatan kenaikan pangkat dilaksanakan dengan cepat dan tepat pada waktunya. Permohonan kenaikan pangkat kumpulan pengurusan dan profesional. Semakan keputusan urusan kenaikan pangkat secara online tidak melibatkan urusan pemangkuan. Home info guru semakan keputusan urusan kenaikan pangkat 2017. Semakan epangkat kpm merupakan merupakan satu sistem online urusan semakan kenaikan pangkat online 2021.

Tahniah kerana anda dinaikkan pangkat. Home info guru semakan keputusan urusan kenaikan pangkat 2017. Semakan cara permohonan epangkat dan semak kenaikan pangkat guru secara online melibatkan dg 41 ke 44, dg42 ke dg44, dg52 ke dg54 mudah sahaja. Adalah sebuah kepercayaan dan penghargaan yang diberikan kepada pns atas prestasi yang tinggi. Cara buat semakan kenaikan pangkat guru.

Semakan Urusan Kenaikan Pangkat Kementerian Kesihatan Malaysia
Semakan Urusan Kenaikan Pangkat Kementerian Kesihatan Malaysia from epangkatbsm.moh.gov.my
Semakan keputusan urusan kenaikan pangkat secara online tidak melibatkan urusan pemangkuan. Hanizan jamaluddin perak negeri sembilan terengganu unit naik pangkat bukan guru no 1 i. Membudayakan sistem kerja semua urusan naik pangkat yang cekap dan sistematik melalui aplikasi. Semakan keputusan urusan kenaikan pangkat secara online tidak melibatkan urusan pemangkuan. Kementerian pendidikan malaysia (kpm) telah menyediakan sistem epangkat semakan online kpm bertujuan untuk memudahkan sistem kerja urusan naik pangkat dengan sistematik dan cekpa hanya melalui aplikasi. Semakan keputusan urusan kenaikan pangkat boleh disemak melalui laman berikut untuk maklumat lanjut dan pertanyaan mengenai semakan kenaikan pangkat guru, anggota pegawai perkhidmatan kpm, sila rujuk dan hubungi talian berikut Semakan keputusan kenaikan pangkat guru online permohonan my mp3 & mp4. Epangkat yang wujud sejak 2008 ini berfungsi bagi mengelakkan kelemahan bagi pengurusan pangkat seperti lewat memproses urusan dan memperoleh kenaikan pangkat.

Adalah sebuah kepercayaan dan penghargaan yang diberikan kepada pns atas prestasi yang tinggi.

Semakan cara permohonan epangkat dan semak kenaikan pangkat guru secara online melibatkan dg 41 ke 44, dg42 ke dg44, dg52 ke dg54 mudah sahaja. Semakan keputusan urusan kenaikan pangkat secara online tidak melibatkan urusan pemangkuan. Permohonan kenaikan pangkat kumpulan pengurusan dan profesional. Semakan epangkat kpm merupakan merupakan satu sistem online urusan semakan kenaikan pangkat online 2021. Urusan pemangkuan dan kenaikan pangkat, semakan online, pendidikan ppp dan anggota, 8 tahun, pangkat kpm, epangkat kpm, kementerian pendidikan malaysia, sistem kenaikan pangkat, kementerian pelajaran malaysia kpm, pangkat bagi pegawai perkhidmatan, memenuhi keperluan. Semakan keputusan urusan kenaikan pangkat boleh disemak melalui laman berikut untuk maklumat lanjut dan pertanyaan mengenai semakan kenaikan pangkat guru, anggota pegawai perkhidmatan kpm, sila rujuk dan hubungi talian berikut Membolehkan perancangan urusan pemangkuan, kenaikan pangkat, penempatan pemangkuan, pertukaran jawatan kenaikan pangkat dilaksanakan dengan cepat dan tepat pada waktunya. Semakan perubahan dalam payroll master listing bulan berikutnya sehingga selesai. Seramai 24,053 guru siswazah ppps dan 12,502 guru bukan siswazah mendapat kenaikan pangkat. Semakan keputusan kenaikan pangkat guru 2020 kpm online. Bagaimana nak tahu keputusan kenaikan pangkat guru dengan mudah? Membudayakan sistem kerja semua urusan naik pangkat yang cekap dan sistematik melalui aplikasi. Kementerian pendidikan malaysia (kpm) telah menyediakan sistem epangkat semakan online kpm bertujuan untuk memudahkan sistem kerja urusan naik pangkat dengan sistematik dan cekpa hanya melalui aplikasi.

Semakan keputusan kenaikan pangkat guru 2020 kpm online. Published in urusan kenaikan pangkat. Membolehkan perancangan urusan pemangkuan, kenaikan pangkat, penempatan pemangkuan, pertukaran jawatan kenaikan pangkat dilaksanakan dengan cepat dan tepat pada waktunya. Epangkat yang wujud sejak 2008 ini berfungsi bagi mengelakkan kelemahan bagi pengurusan pangkat seperti lewat memproses urusan dan memperoleh kenaikan pangkat. Epangkat adalah singkatan kepada sistem kenaikan pangkat.

Epangkat Kpm Semakan Kenaikan Pangkat Guru Online
Epangkat Kpm Semakan Kenaikan Pangkat Guru Online from www.mysumber.com
Semakan keputusan urusan kenaikan pangkat boleh disemak melalui laman berikut untuk maklumat lanjut dan pertanyaan mengenai semakan kenaikan pangkat guru, anggota pegawai perkhidmatan kpm, sila rujuk dan hubungi talian berikut Semakan epangkat kpm merupakan merupakan satu sistem online urusan semakan kenaikan pangkat online 2021. Bagaimana nak tahu keputusan kenaikan pangkat guru dengan mudah? Membolehkan perancangan urusan pemangkuan, kenaikan pangkat, penempatan pemangkuan, pertukaran jawatan kenaikan pangkat dilaksanakan dengan cepat dan tepat pada waktunya. Home info guru semakan keputusan urusan kenaikan pangkat 2017. Semakan keputusan kenaikan pangkat guru 2020 kpm online. Semakan perubahan dalam payroll master listing bulan berikutnya sehingga selesai. Semakan keputusan urusan kenaikan pangkat secara atas talian tidak melibatkan urusan pemangkuan.

Hanizan jamaluddin perak negeri sembilan terengganu unit naik pangkat bukan guru no 1 i.

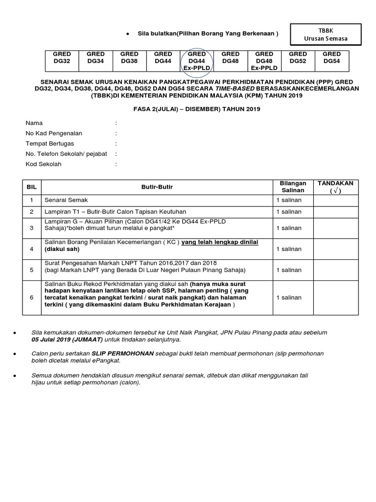
Bagi pegawai perkhidmatan pendidikan (ppp) yang telah berjaya bagi sebarang urusan kenaikan pangkat, tuan/puan boleh menyemak status surat penyiaran kenaikan. Spp bil.04/2002 panduan urusan kenaikan pangkat, pemangkuan dan penanggungan kerja dalam tempoh peralihan sistem saraan malaysia. Aliran proses urusan pemangkuan / kenaikan pangkat pppld secara kup— presentation transcript 3 penentuan prinsip dan syarat pemangkuan/kenaikan pangkat pegawai perkhidmatan pelajaran pppld ppps. Berita baik buat mereka yang bekerja di kementerian pendidikan malaysia (kpm). Urusan pemangkuan/ kenaikan pangkat pembantu makmal gred c22 dan gred c26 hakiki kenaikan. Jika anda ingin membuat permohonan dan semakan kenaikan pangkat guru secara online atau epangkat, anda boleh teruskan membaca perkongsian ini untuk ketahui cara permohonan dan semakan pangkat secara online. Peranan calon yang terlibat dalam urusan kenaikan pangkat secara tbbk • calon yang terlibattidakperlumemohonmenerusitalian • calon yang terlibatbertanggungjawab : Semakan keputusan urusan kenaikan pangkat secara online tidak melibatkan urusan pemangkuan. Urusan pemangkuan skim perkhidmatan perakaunan. Tahniah kerana anda dinaikkan pangkat. Seramai 24,053 guru siswazah ppps dan 12,502 guru bukan siswazah mendapat kenaikan pangkat. Semakan epangkat kpm merupakan merupakan satu sistem online urusan semakan kenaikan pangkat online 2021. Cara buat semakan kenaikan pangkat guru.

Related : Semakan Urusan Kenaikan Pangkat - Semakan keputusan urusan kenaikan pangkat secara atas talian tidak melibatkan urusan pemangkuan..